责任编辑:匿名 (未验证)		
		2010/12/31		 
		作者:徐伟 周洪鹏		    
  一、前言
根据中长期铁路网规划,到2020年,我国铁路营业里程将达到12万公里以上。其中,新建高速铁路将达到1.6万公里以上;加上其他新建铁路和既有线提速线路,我国铁路快速客运网将达到5万公里以上,连接所有省会城市和50万人口以上城市,覆盖全国90%以上人口。新一轮铁路建设高潮的兴起,为铁路信号电缆生产企业提供了难得的市场机遇。
铁路数字信号电缆使用于铁路信号自动闭塞系统、车站电码化、计算机连锁、微机监测、调度集中、调度监督、大功率电动转辙机等有关信号设备和控制装置之间传输控制信息、监测信息和电能传输。而铁路长途对称通信电缆主要用于铁路长途或区间通信,可在电气化铁路区段、电力牵引供电系统或强电干扰条件下正常使用。铁路信号电缆或长途对称通信电缆结构使用内屏蔽、铝护套和钢带铠装等多种屏蔽层,根本目的是通过降低屏蔽系数达到减少回路间的相互干扰和外部电磁干扰之目的,而光纤具有衰减小、抗电磁干扰能力强的先天优势,有助于降低线路运营成本,提高产品性能,铁路长途对称通信电缆正逐步被光缆或光电综合缆所替代。
 
二、结构设计
本文以GDL23 20B1+7×4×0.9+9×2×0.7:7组铜芯皮-泡-皮物理发泡绝缘、20芯B类光纤、铝护套双钢带铠装聚乙烯外护套长途对称通信光电综合为例进行分析:
1、皮泡皮绝缘线芯设计
绝缘线芯采用了皮-泡-皮物理发泡绝缘层,与传统的化学发泡相比,提高了绝缘线芯的防潮性能、耐老化性能和机械强度。
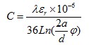
根据铁标TB1478-83工作电容要求,四线组0.9mm≤27nF/km;对绞组0.7mm标准值44 nF/km,最大值≤50nF/km。工作电容公式:
        (1)
                               (1)
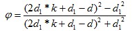
式中a—回路两导线中心间距(mm);四线组: ;对绞组=2*d1
;对绞组=2*d1
d—导线直径(mm);d1 —绝缘外径(mm);λ—总的绞入率;
         —组合绝缘介质的等效相对介电常数;
—组合绝缘介质的等效相对介电常数;
         —由于接地金属护层和邻近导线产生影响而引用的修正系数;
—由于接地金属护层和邻近导线产生影响而引用的修正系数;
四线组: (2)
                                  (2)
对绞组: (3)
                                         (3)
其中k为压紧系数,取值0.94-0.96。
         计算:
计算:
         (4)
                                 (4)
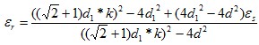
绝缘层综合介电常数:
         (5)
                                                       (5)
式中:S1—内皮面积; —内皮介电常数;
—内皮介电常数;
Se—发泡面积; —发泡介电常数;
—发泡介电常数;
S2—外皮面积; —外皮介电常数;
—外皮介电常数;
对于皮泡皮绝缘线芯,内皮厚度为0.02mm;外皮为提高绝缘抗压缩性能,厚度为0.10mm,均为固定值;故: (6)
                                         (6)
         (7)
                                   (7)
         (8)
                                               (8)
发泡层介电常数:
         (9)
                                                   (9)
P—发泡度,取59%
         —发泡料介电常数
—发泡料介电常数
将公式(2)和(4)带进(1)中,公式(1)中只有一个变量为d1,运用excel表单变量求解可求出线芯外径,表1为线芯结构尺寸:
	
由于有9个对绞组和7个四线组,必须将其中2个对绞组与松套管一起绞合,根据用户要求10芯/管,20芯光纤共需2个松套管。由于对绞组外径∮2.8mm已经确定,为保持缆芯圆整松套管外径也应为∮2.8mm。松套管参数:外径2.8mm;壁厚0.45mm;余长0.3-0.8‰。
3、中心加强件
考虑到中心加强件外均绞合2个对绞组,由于制造缺陷,绝缘单线可能存在针孔等缺陷,如果中心加强采用磷化钢丝金属加强件,有可能导致对绞组绝缘出现问题。为此将中心加强件设计为FRP。FRP参数:理论外径:∮1.2mm,实际外径∮1.4mm(考虑库存情况)。
4、填充绳
中心加强件外第2绞层如图1所示为2根松套管和2个对绞组,为使缆芯圆整,需用填充绳填充。考虑到对绞组特点采用聚丙烯填充绳(主要用于电力电缆的填充),PP填充绳柔软,比重低、介电常数低,能使缆芯更加圆整,同时适当增加绞层外径。PP填充绳参数:型号规格90mm(膜宽90±5mm,膜厚0.10±0.05mm)。
5、光单元成缆
2根松套管和2个对绞组采用光缆常规的SZ绞形式,图谱排列如图1所示。设备采用光缆1+12SZ成缆机,绞合节距为200mm,扎纱节距40mm,过线模8.0mm。绞合节距选择不考虑机械性能特别是拉伸性能要求,而考虑铁路信号电缆成缆机中心层放线为被动放线的实际情况,需要光单元承受一定张力而不影响光纤性能指标。光单元外不需绕包或纵包聚酯带。
6、7组四线组成缆
采用铁路信号电缆JC-630/12+16型成缆机生产,外绕包三层聚酯带,成缆节距480mm。
图1 光电综合缆A端图谱
 7、铝护套
        7、铝护套
长途对称通信电缆铝护套采用的铝板厚度应不小于1.5mm。经过拉拔模拉拔后的铝护套与缆芯的间隙应在0.5~1.0mm范围内(缆芯在铝管内不松动即可),并确保焊接铝管时不挤压和烧伤缆芯,铝护套不圆度应不大于5%。
计算公式:[(Dmax-Dmin)/D0] ×100%
公式中 Dmin——表示铝管的最小直径
Dmax——表示铝管的最大直径
铝护套气密性、机械强度的试验与控制:
a)铝管扩孔试验——截取约100mm空管两端平整,使用30°圆锥扩孔工具,将铝管扩至1.3倍目测无裂纹。
b)焊缝强度试验——从铝管焊缝处截取30×40mm试样,用两把克丝钳沿焊缝两侧夹紧并左、右90o弯折各2次,焊缝处目测无裂纹。
8、内垫层
生产设备:SJ-120+65/25型挤塑机。内垫层采用低密度聚乙烯(LDPE)挤包,护套标称厚度1.2mm,最薄不小于1.0mm。65挤塑机在铝护套外涂敷一层厚度0.1-0.2mm热熔胶,目的是增加铝管与内垫层粘结度。
9、钢带铠装
铠装钢带应采用厚度为0.5mm镀锌钢带,双钢带左向间隙绕包,绕包间隙应不大于钢带宽度的50%,且内层钢带的间隙应为外层钢带靠近中间部分所覆盖,搭盖率应不小于带宽的15%。
10、外护套
生产设备采用SJ-150/25型挤塑机。外护套采用高压低密度或线性低密度聚乙烯护套料挤包,其平均厚度不小于标称厚度1.4mm,且任一点最小处厚度不得小于标称厚度的85%-0.2mm。
 
三、生产过程控制要点
1、光单元SZ成缆
生产设备采用光缆高速SZ成缆机。由于该型号光电综合缆为非填充型,需对光缆SZ成缆机的绞台、扎纱绕包头等过线模中的缆膏进行清理。
2、填充绳接续
PP填充绳长度一般在几百米左右,而光电综合缆长度1km以上,需对PP填充绳事先进行接续,由于SZ成缆机穿线模尺寸限制,接续处外径太大易造成断线。接续时应将PP填充绳两端各剪细一半,用透明胶带对接续处缠紧,接续部分外径不应超过PP填充绳标准外径。
3、7组缆芯绞合
由于铁路信号电缆用成缆机中心层放线架为被动放线,在起车时,应用手推盘以减轻光单元所受瞬间张力。
4、铝护套及后道工序
由于光电综合缆生产过程不能接续,因此铝护套及后道工序生产过程中要特别仔细认真,以防漏焊、折管、脱胶等情况发生造成分盘。
 
四、性能测试
1、电气性能
	
	
五、结束语
江苏通鼎光电科技有限公司对铁路长途对称通信光电综合缆结构、工艺和材料进进行了不断摸索和比对,利用完善的检测手段和生产过程精确控制,很好地验证了结构设计的合理性和有效性。产品各项性能优于标准要求,质量稳定,用户反映情况良好。
根据中长期铁路网规划,到2020年,我国铁路营业里程将达到12万公里以上。其中,新建高速铁路将达到1.6万公里以上;加上其他新建铁路和既有线提速线路,我国铁路快速客运网将达到5万公里以上,连接所有省会城市和50万人口以上城市,覆盖全国90%以上人口。新一轮铁路建设高潮的兴起,为铁路信号电缆生产企业提供了难得的市场机遇。
铁路数字信号电缆使用于铁路信号自动闭塞系统、车站电码化、计算机连锁、微机监测、调度集中、调度监督、大功率电动转辙机等有关信号设备和控制装置之间传输控制信息、监测信息和电能传输。而铁路长途对称通信电缆主要用于铁路长途或区间通信,可在电气化铁路区段、电力牵引供电系统或强电干扰条件下正常使用。铁路信号电缆或长途对称通信电缆结构使用内屏蔽、铝护套和钢带铠装等多种屏蔽层,根本目的是通过降低屏蔽系数达到减少回路间的相互干扰和外部电磁干扰之目的,而光纤具有衰减小、抗电磁干扰能力强的先天优势,有助于降低线路运营成本,提高产品性能,铁路长途对称通信电缆正逐步被光缆或光电综合缆所替代。
二、结构设计
本文以GDL23 20B1+7×4×0.9+9×2×0.7:7组铜芯皮-泡-皮物理发泡绝缘、20芯B类光纤、铝护套双钢带铠装聚乙烯外护套长途对称通信光电综合为例进行分析:
1、皮泡皮绝缘线芯设计
绝缘线芯采用了皮-泡-皮物理发泡绝缘层,与传统的化学发泡相比,提高了绝缘线芯的防潮性能、耐老化性能和机械强度。
根据铁标TB1478-83工作电容要求,四线组0.9mm≤27nF/km;对绞组0.7mm标准值44 nF/km,最大值≤50nF/km。工作电容公式:
 (1)
                               (1)式中a—回路两导线中心间距(mm);四线组:
 ;对绞组=2*d1
;对绞组=2*d1d—导线直径(mm);d1 —绝缘外径(mm);λ—总的绞入率;
 —组合绝缘介质的等效相对介电常数;
—组合绝缘介质的等效相对介电常数; —由于接地金属护层和邻近导线产生影响而引用的修正系数;
—由于接地金属护层和邻近导线产生影响而引用的修正系数;四线组:
 (2)
                                  (2)对绞组:
 (3)
                                         (3)其中k为压紧系数,取值0.94-0.96。
 计算:
计算: (4)
                                 (4)绝缘层综合介电常数:
 (5)
                                                       (5)式中:S1—内皮面积;
 —内皮介电常数;
—内皮介电常数;Se—发泡面积;
 —发泡介电常数;
—发泡介电常数;S2—外皮面积;
 —外皮介电常数;
—外皮介电常数;对于皮泡皮绝缘线芯,内皮厚度为0.02mm;外皮为提高绝缘抗压缩性能,厚度为0.10mm,均为固定值;故:
 (6)
                                         (6) (7)
                                   (7) (8)
                                               (8)发泡层介电常数:
 (9)
                                                   (9)P—发泡度,取59%
 —发泡料介电常数
—发泡料介电常数将公式(2)和(4)带进(1)中,公式(1)中只有一个变量为d1,运用excel表单变量求解可求出线芯外径,表1为线芯结构尺寸:
表1
| 皮泡皮绝缘线芯 | 工艺结构及公差(mm) | 结构示意图 | 
| 导体直径 | 0.9+0.002 -0.006 |  | 
| 内皮厚度 | 0.02~0.03 | |
| 发泡层厚度 | 0.643~0.647 | |
| 外皮厚度 | ≥0.06 | |
| 绝缘线外径 | 2.35±0.05 | 
        对绞组:铜线直径:0.7mm;绝缘外径1.4mm。
        2、松套管由于有9个对绞组和7个四线组,必须将其中2个对绞组与松套管一起绞合,根据用户要求10芯/管,20芯光纤共需2个松套管。由于对绞组外径∮2.8mm已经确定,为保持缆芯圆整松套管外径也应为∮2.8mm。松套管参数:外径2.8mm;壁厚0.45mm;余长0.3-0.8‰。
3、中心加强件
考虑到中心加强件外均绞合2个对绞组,由于制造缺陷,绝缘单线可能存在针孔等缺陷,如果中心加强采用磷化钢丝金属加强件,有可能导致对绞组绝缘出现问题。为此将中心加强件设计为FRP。FRP参数:理论外径:∮1.2mm,实际外径∮1.4mm(考虑库存情况)。
4、填充绳
中心加强件外第2绞层如图1所示为2根松套管和2个对绞组,为使缆芯圆整,需用填充绳填充。考虑到对绞组特点采用聚丙烯填充绳(主要用于电力电缆的填充),PP填充绳柔软,比重低、介电常数低,能使缆芯更加圆整,同时适当增加绞层外径。PP填充绳参数:型号规格90mm(膜宽90±5mm,膜厚0.10±0.05mm)。
5、光单元成缆
2根松套管和2个对绞组采用光缆常规的SZ绞形式,图谱排列如图1所示。设备采用光缆1+12SZ成缆机,绞合节距为200mm,扎纱节距40mm,过线模8.0mm。绞合节距选择不考虑机械性能特别是拉伸性能要求,而考虑铁路信号电缆成缆机中心层放线为被动放线的实际情况,需要光单元承受一定张力而不影响光纤性能指标。光单元外不需绕包或纵包聚酯带。
6、7组四线组成缆
采用铁路信号电缆JC-630/12+16型成缆机生产,外绕包三层聚酯带,成缆节距480mm。

图1 光电综合缆A端图谱

长途对称通信电缆铝护套采用的铝板厚度应不小于1.5mm。经过拉拔模拉拔后的铝护套与缆芯的间隙应在0.5~1.0mm范围内(缆芯在铝管内不松动即可),并确保焊接铝管时不挤压和烧伤缆芯,铝护套不圆度应不大于5%。
计算公式:[(Dmax-Dmin)/D0] ×100%
公式中 Dmin——表示铝管的最小直径
Dmax——表示铝管的最大直径
铝护套气密性、机械强度的试验与控制:
a)铝管扩孔试验——截取约100mm空管两端平整,使用30°圆锥扩孔工具,将铝管扩至1.3倍目测无裂纹。
b)焊缝强度试验——从铝管焊缝处截取30×40mm试样,用两把克丝钳沿焊缝两侧夹紧并左、右90o弯折各2次,焊缝处目测无裂纹。
8、内垫层
生产设备:SJ-120+65/25型挤塑机。内垫层采用低密度聚乙烯(LDPE)挤包,护套标称厚度1.2mm,最薄不小于1.0mm。65挤塑机在铝护套外涂敷一层厚度0.1-0.2mm热熔胶,目的是增加铝管与内垫层粘结度。
9、钢带铠装
铠装钢带应采用厚度为0.5mm镀锌钢带,双钢带左向间隙绕包,绕包间隙应不大于钢带宽度的50%,且内层钢带的间隙应为外层钢带靠近中间部分所覆盖,搭盖率应不小于带宽的15%。
10、外护套
生产设备采用SJ-150/25型挤塑机。外护套采用高压低密度或线性低密度聚乙烯护套料挤包,其平均厚度不小于标称厚度1.4mm,且任一点最小处厚度不得小于标称厚度的85%-0.2mm。
三、生产过程控制要点
1、光单元SZ成缆
生产设备采用光缆高速SZ成缆机。由于该型号光电综合缆为非填充型,需对光缆SZ成缆机的绞台、扎纱绕包头等过线模中的缆膏进行清理。
2、填充绳接续
PP填充绳长度一般在几百米左右,而光电综合缆长度1km以上,需对PP填充绳事先进行接续,由于SZ成缆机穿线模尺寸限制,接续处外径太大易造成断线。接续时应将PP填充绳两端各剪细一半,用透明胶带对接续处缠紧,接续部分外径不应超过PP填充绳标准外径。
3、7组缆芯绞合
由于铁路信号电缆用成缆机中心层放线架为被动放线,在起车时,应用手推盘以减轻光单元所受瞬间张力。
4、铝护套及后道工序
由于光电综合缆生产过程不能接续,因此铝护套及后道工序生产过程中要特别仔细认真,以防漏焊、折管、脱胶等情况发生造成分盘。
四、性能测试
1、电气性能
| 序号 | 项目 | 单位 | 指标 | 实测 | 
| 1 | 导电线芯直流电阻a 20℃ 四线组 0.9mm 对线组 0.7mm | Ω/km | ≤28.5 ≤48.0 | 26.86 43.77 | 
| 2 | 工作对导体直流电阻不平衡 四线组 对线组 | % | ≤1 ≤2 | 0.18 0.25 | 
| 3 | 绝缘电阻    DC  500V 四线组 对线组 | MΩ·km | ≥10000 ≥5000 | >10000 >5000 | 
| 4 | 绝缘介质强度 芯对地(50Hz,1800V,2min) 芯对芯(50Hz,1000V,2min) | 应不击穿 应不击穿 | ≥1800 ≥1000 | 未击穿 未击穿 | 
| 5 | 工作电容0.8kHz~1.0kHz 四线组 0.9mm 对线组 0.7mm | nF/km | ≤27.0 50.0 | 26.73 48.03 | 
| 6 | 电容耦合系数  0.8kHz~1.0kHz K1 平均值 最大值 K9~K12 平均值 最大值 | pF/km | ≤81 330 ≤168 236 | 23 35 13 22 | 
| 7 | 对地电容不平衡系数0.8kHz~1.0kHz e1 e2平均值 最大值(其中允许有10%盘数的e1 e2值≤1294 pF/km) | pF/km | ≤330 ≤800 | 126 447 | 
        2、光纤性能
| 项目 | 单位 | 指标 | 实测 | ||
| 衰减系数 | 1310nm | dB/km | ≤0.36 | 白管绿纤 | 0.334 | 
| 白管紫纤 | 0.327 | ||||
| 白管棕纤 | 0.324 | ||||
| 白管黑纤 | 0.332 | ||||
| 白管白纤 | 0.329 | ||||
| 白管黄纤 | 0.332 | ||||
| 红管红纤 | 0.327 | ||||
| 红管灰纤 | 0.332 | ||||
| 红管蓝纤 | 0.329 | ||||
| 红管黄纤 | 0.332 | ||||
| 红管橙纤 | 0.328 | ||||
| 红管棕纤 | 0.331 | ||||
| 1550nm | dB/km | ≤0.22 | 白管绿纤 | 0.185 | |
| 白管紫纤 | 0.187 | ||||
| 白管棕纤 | 0.191 | ||||
| 白管黑纤 | 0.192 | ||||
| 白管白纤 | 0.187 | ||||
| 白管黄纤 | 0.192 | ||||
| 红管红纤 | 0.192 | ||||
| 红管灰纤 | 0.189 | ||||
| 红管蓝纤 | 0.191 | ||||
| 红管黄纤 | 0.194 | ||||
| 红管橙纤 | 0.189 | ||||
| 红管棕纤 | 0.187 | ||||
        电缆测试长度为1020m,从上述测试结果来看,各项性能指标均符合标准的要求。
 五、结束语
江苏通鼎光电科技有限公司对铁路长途对称通信光电综合缆结构、工艺和材料进进行了不断摸索和比对,利用完善的检测手段和生产过程精确控制,很好地验证了结构设计的合理性和有效性。产品各项性能优于标准要求,质量稳定,用户反映情况良好。
 
			
