一、前言
光缆在生产、运输、敷设以及使用过程中会受到各种外部机械力的作用。这些外部机械力对光缆的正常使用和寿命都影响很大。因此需要检验在各种外部机械力作用下,光纤衰减的变化或光纤应变的变化。实际中做法是把这些外部机械力分解为单一作用的各种力和作用,如拉伸、压扁、冲击、弯曲、扭转、曲挠等等,其中光缆拉伸性能是制造厂家和用户最为关注的项目。现有的标准都对光缆拉伸的试验进行了较为详细的规定,但是依然存在一些没有明确的模糊地带,比如对光缆受试长度的规定。这些模糊地带给光缆拉伸试验的操作以及结果的可比性和可用性造成了困惑。本文希望对现有标准规定进行探讨,给出一些明确的操作规定和做法。
二、光缆拉伸试验受试长度的标准规定
光缆拉伸试验受试长度是计算光纤应变的基础,决定了光纤应变的大小和计算偏差。我国的标准从最早的YD/T 825-1996到GB/T 7424.2 的2002和2008两个版本,以及最新的GB/T 7424.21的报批稿都明确写了光缆受试长度的计算规定:两卡盘入口切点间光缆长度与一个卡盘周长之和。不同标准表述略有不同,但意思基本一致。而IEC相关的标准从IEC60794-1.2的99版开始到最新的2021版都没有给出具体的规定,这给光缆拉伸试验结果的实验室间的比对带来了很大不确定性。

图1 光缆拉伸试验示意图
但卡盘入口切点到底在哪儿,如图1所示,在标准的示意图上没有明确指出,不同使用标准的人往往理解不一致,造成实际计算的千差万别,从而带来试验结果的偏差,给光缆的产品质量带来风险。早期的研究[1]认为在如图1的绕缆方式下光缆拉伸的等效受试长度为:
等效受试长度=平行段长度×6+滑轮半圆弧×7×系数K(μ) 公式(1)

得到这个结论的前提有两个:一是认为光缆在卡盘上的多圈缠绕和换向滑轮上的半圈状态一样;二是把光缆假设为结构均匀的绳体,类似一个PE棒。这两个假设事实上和光缆的实际状态有较大差异。
原因有以下三个方面:一是卡盘是不能转动的,换向滑轮是接近理想的定滑轮,光缆在这两种轮子上缠绕时力学效应是完全不一样的。第二个原因是光缆受到拉伸时,其结构体中模量最大的加强钢丝是承受拉力的最大贡献者。文献[1]只考虑到了外护套和卡盘滑轮之间的摩擦力,但这只是部分事实,更多的力值是钢丝加强芯承受的,不能代表光缆结构各组件受力全貌。三是现在的实际光缆拉伸实验中,光缆的盘绕方法和图1推荐的方法不一致,一般只有一个来回,如图2所示。因此在光缆的拉伸试验中,文献[1]的研究结论并没有得到广泛接受应用。实际操作中,各种光缆等效受试长度算法都有,给光缆拉伸试验的光纤应变计算造成了混乱。为了更科学准确进行光缆拉伸试验,为生产制造厂家和检测机构提供更为准确的测试结果,帮助改进光缆产品质量,非常有必要对光缆等效受试长度进行再研究,以统一行业认识。

图2 一个来回的光缆拉伸试验示意图
三、换向导轮和卡盘上的光缆受力分析
3.1 换向导轮上的光缆受力分析
光缆拉伸试验中的换向导轮即图1中的传递装置,是一个可以自由转动的定滑轮,如图2所示。从理论上来说,如果非刚体的光缆自重不能忽略,则无论施加多大的拉力,光缆的重力都需要一个向上的力来平衡,即光缆不可能被拉到完全水平的状态,只能无限接近水平,也即真实的光缆与水平线总会保持一定的角度θ。只有拉力很大,光缆自重比较小的情况下,θ角会趋近于零。光缆在拉伸过程中保持静止状态时,卡盘处于动平衡状态,可以近似认为换向导轮两侧的光缆拉力Fa和Fb相等。缠绕在滑轮上的光缆受力近似处处相等,都等于光缆受到拉力。意味着换向导轮上的半圆弧光缆长度可以完整计入光缆受试长度。

图3 光缆拉伸试验机的换向导轮(滑轮)
3.2 卡盘上的光缆受力分析
卡盘是用来固定光缆的,通常光缆在卡盘上缠绕4到5圈再在尾端通过加持固定,就能让光缆在拉伸端承受较大的拉力而不会发生滑动。实操经验可知夹持端受力很小,只要稍加固定就能保持光缆固定。这里有个典型的拴牛的案例,其力学原理一样。放牛时为了不让牛随意破坏庄稼,会把牛拴在一个树桩上,让其在固定的区域吃草。这个时候为了防止牛挣脱缰绳,会把缰绳在树上缠绕几圈后再打结固定,这个时候牛就很难挣脱了。其理论分析如下,简化的受力模型如图4所示。

图4 光缆在卡盘上的受力模型
采用微积分的方法,根据力学的平衡关系,可以得出力FT和FTo之间的关系:

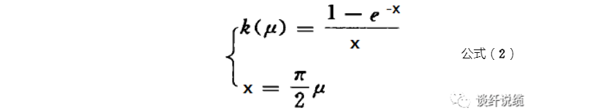
μ0为绳子与卡盘之间的静摩擦系数。光缆是一个非均匀的组合体,受到拉伸时,其中各个组件受力大小不一致。其中加强材料受力最大,占65%。当光缆缠绕在卡盘上时,中间金属加强芯被塑管包围构成缆芯缠绕在卡盘上。此时这个μ0应该由各个组件共同作用构成。对于典型的GYTS光缆一般采用磷化钢丝作为加强抗拉材料,磷化钢丝和PPT之间摩擦系数在0.2左右,外护套和卡盘之间摩擦系数在0.4左右。综合各组件的抗拉贡献率,可设定μ0为0.25。则得到如表1的数据,即光缆绕半圈、一圈、一直到第五圈的拉力分布情况:
表1 光缆拉伸力与圈数对应表

从表1可以看出,在半圈的位置,拉力值就降到一半以下,一圈的位置只有五分之一了,第二圈的时候不到5%,第三圈的时候不到1%,第四圈的时候只有拉力端力值的0.19%,第五圈时降到了0.039%,意即1500N的拉力,只需要0.585N的力量就可以平衡。因此在夹持端只需要不让光缆松弛就能达到固定的目的。
根据公式2,可以计算出当μ为0.25的时候,系数K为0.83。意味着两个卡盘上的光缆总等效受试长度为1.66个卡盘周长。但对于不同结构的光缆,μ值的差异很大,比如中心管式的光缆,μ值就可以取0.4,对应k值为0.74。对于非金属光缆,k值小于0.5。实际操作中不可能一种光缆规定一种计算方法,综合考虑无论光缆在卡盘上绕多少圈,都统一设定两个卡盘上的光缆等效受试长度为1个卡盘周长,意即现行标准中规定的计算方法。具体到三个来回和一个来回的光缆绕法,计算公式如下:
1)光缆绕三个来回时,如图1所示:
光缆等效受试长度=平行段长度L×6+换向滑轮半圆弧×5+1个卡盘周长 公式(4)
若卡盘和换向导轮直径相等,则有:
光缆等效受试长度=平行段长度L×6+3.5个卡盘周长 公式(5)
平行段的长度如图1所示,为两组换向导轮轴间中心距L。
2)光缆绕一个来回,如图2所示:
光缆等效受试长度=平行段长度L×2+换向滑轮半圆弧×2+1个卡盘周长 公式(6)
若卡盘和换向导轮直径相等,则有:
光缆等效受试长度=平行段长度L×6+2个卡盘周长 公式(7)
平行段的长度如图2所示,为两个换向导轮轴间中心距L。
四、小结
光缆拉伸试验作为光缆机械性能测试项目中最重要的一项,光缆制造企业、检测机构和最终用户都非常重视。标准的完善和对标准理解的统一是正确试验光缆拉伸性能的基本前提。文中提出的计算方法细化了国标GB/T7424中的规定,规范了光缆等效受试长度的计算,建议推广给各实验室统一采用。使得光缆拉伸试验结果的评价更为准确科学,各个实验室之间的比对和互认更为有效。
参考文献:
[1] 陈述,李然山,光缆拉伸应变试验中的等效受试长度[J],现代有线传输1994年第2期 P7~P11。
